
Day: March 22, 2016
Tuesday: 3 x 20′ / 1′ rest L4
Tough rowing today. Felt quite tired. HR was correspondingly high. I didn’t measure lactate, but it would have been too high if I did.
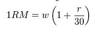
Later today, I will try to start some strength training. I will probably do some work to estimate 1RM for a few major exercises (Back squat, Front Squat, Strict press, bench press, power clean, dead lift, good mornings). I will not go to failure on these, but use the method of getting to a weight where you can do less than 10 reps and then use the formula

to figure out an estimate for what my 1RM would be.
Tomorrow morning: Long Intervals : 5 x 1500 / 5′ rest, target pace 1:50



